Принцип модификации поверхности порошка кремнезема (ультрадисперсного кварцевого порошка)

Принцип модификации поверхности кремнеземным порошком (ультрадисперсным кварцевым порошком) можно обобщить следующим образом: тонкость порошка напрямую связана с его поверхностной реакционной активностью. Чем мельче частицы, тем больше удельная площадь поверхности, тем больше количество поверхностно-активных гидроксильных групп, тем сильнее потенциал химической реакции и тем значительнее эффект модификации.

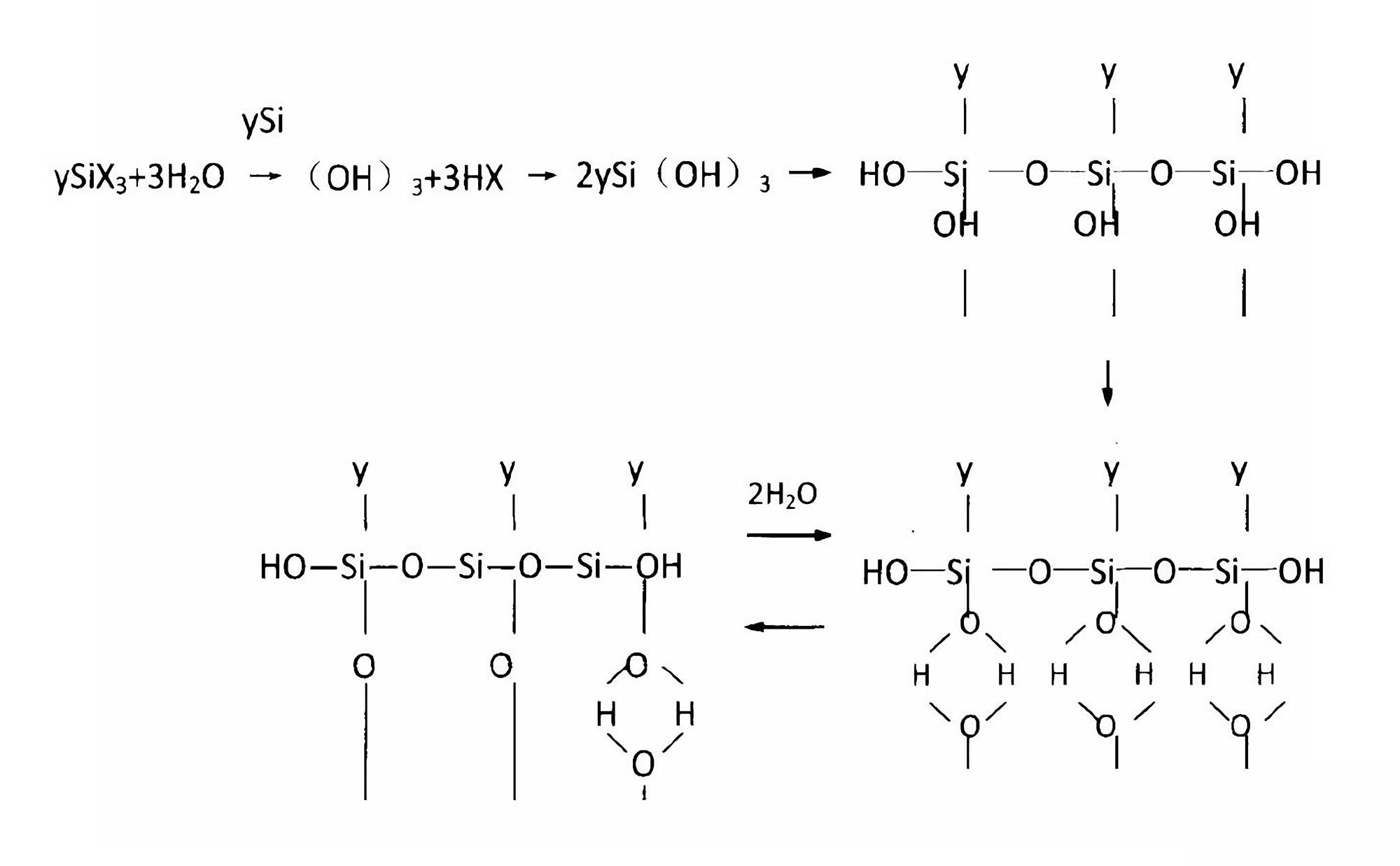
После механического измельчения силикатных минералов, таких как кварц, на вновь образованной поверхности образуются свободные радикалы или ионы. Под воздействием внешних условий эти поверхности дополнительно генерируют активные группы, такие как Si-OH, Si-O-Si и Si-OH···H. Эти группы обладают способностью вступать в реакции связывания с внешними функциональными группами, обеспечивая основную химическую основу для модификации поверхности и, в конечном итоге, достигая цели модификации – улучшения характеристик порошка.

Кроме того, эффект модификации регулируется множеством ключевых факторов, в основном включая температуру реакции, выбор и дозировку модификаторов, конкретные методы обработки и общие параметры процесса модификации.

Процесс модификации высокоскоростного смесителя для получения кварцевого порошка (ультратонкого кварцевого порошка)

Этот процесс использует периодическое действие, что особенно подходит для обработки кварцевого порошка (силикатного порошка), требующей высокой температуры модификации и длительного времени реакции, например, модификации добавками на основе силана.

Его основные преимущества заключаются в следующем:

  1. Точное управление процессом: благодаря устройствам нагрева и синхронизации, он может Точно регулируйте температуру и время модификации кварцевого порошка, обеспечивая достаточную и стабильную реакцию.
  2. Чистая производственная среда: футеровка оборудования изготовлена ​​из износостойких и коррозионностойких материалов, таких как керамика, что позволяет эффективно предотвращать металлическое загрязнение кварцевого порошка и обеспечивать чистоту продукта.
  3. Равномерное покрытие: благодаря согласованному управлению равномерной скоростью подачи кварцевого порошка и количественному добавлению модификаторов, поверхность частиц кварцевого порошка может быть полностью и равномерно покрыта.
  4. Широкая применимость: позволяет достичь идеального эффекта активации поверхности для кварцевого порошка различных спецификаций и чистоты, адаптируясь к требованиям модификации в различных сценариях применения.

Благодаря точному контролю температуры и времени система гарантирует достаточность и однородность реакции модификации кварцевого порошка или процесса нанесения покрытия, что позволяет получать высококачественные продукты из модифицированного кварцевого порошка.
Результатов не найдено.

Распространенные модификаторы для порошка кремнезема

К распространённым модификаторам для кремнезёмного порошка относятся, главным образом, силановые, алюминатные и титанатные связующие агенты. Кроме того, в промышленности используются жирные кислоты и катионные поверхностно-активные вещества, такие как бромид цетилтриметиламмония. Преимуществами этих жирных кислот и катионных поверхностно-активных веществ являются низкая стоимость и простота процесса, но их модифицирующий эффект носит общий характер, что делает их пригодными только для производства низкосортных модифицированных продуктов.

Различия в производительности и стоимости

Силановые связующие агенты обеспечивают наилучший модифицирующий эффект на кварцевом порошке, но их стоимость относительно высока. Алюминатные и титанатные связующие агенты дешевле и проще в использовании для модификации, однако их модифицирующий эффект несколько ниже. Основная причина заключается в том, что связь Si-O-Si, образованная силановыми связующими агентами с силанольными группами на поверхности порошка, обладает высокой энергией связи и высокой стабильностью. Напротив, ионы Al³⁺ и Ti³⁺ в алюминатных и титанатных связующих агентах имеют большие радиусы, которые легко связываются с силанольными группами и закрепляются на поверхности порошка. Образующиеся связи имеют более низкий порядок связи и меньшую стабильность.

Различия в условиях использования

При использовании алюминатных и титанатных аппретов для модификации практически невозможно добавлять воду. В противном случае аппреты, вероятно, будут маскироваться, образуя эмульсии. Оптимальный эффект модификации достигается при растворении в органических растворителях, таких как толуол и ацетон. Для силановых аппретов необходима гидролизная обработка, в противном случае добиться эффективного связывания с поверхностью кварцевого порошка будет сложно.

Тенденции развития модификации поверхности кремнеземного порошка

Одним из основных направлений развития модификации кварцевого порошка является ультратонкое измельчение частиц и функциональная хайэндизация. Благодаря своей трёхмерной сетчатой ​​структуре наноразмерный кварцевый порошок обладает превосходными свойствами, такими как стабильность, загущение, тиксотропия и электроизоляционные свойства. Он находит всё более широкое применение в таких областях, как производство плёнок и покрытий. В частности, благодаря хорошему светопропусканию и способности отражать инфракрасное излучение, он стал ключевым компонентом высокотехнологичных материалов. Несмотря на такие проблемы, как лёгкая агломерация, наличие множества поверхностно-активных центров и более высокая стоимость приготовления по сравнению с продуктами микронного размера, его незаменимость, обусловленная уникальными свойствами, обеспечивает устойчивый рост рыночного спроса, стимулируя развитие отрасли к углублению в сторону ультратонкой и наноразмерной модификации.

Расширенные возможности настройки и адаптации стали ключевыми требованиями в сегментированных областях применения. Различные сценарии применения предъявляют существенно различающиеся требования к эксплуатационным характеристикам модифицированного кварцевого порошка. Например, в производстве пластиковых пленок необходим строгий контроль размера частиц порошка, чтобы избежать влияния на процесс экструзии с раздувом пленки и механические свойства готовых изделий. Выбор модификаторов должен точно соответствовать химической структуре наполненных полимеров. Например, кварцевый порошок, модифицированный связующими агентами на основе алкенила или хлоруглеводорода, подходит для полиэтиленовых материалов, в то время как модифицированный связующими агентами на основе полисульфидных углеводородов более совместим с резиновым наполнителем. Будущие технологии модификации будут больше ориентированы на сегментированные сценарии, реализуя индивидуальную модификацию по принципу «один материал — один план» путем целенаправленной корректировки параметров процесса и оптимизации формул модификаторов, тем самым улучшая совместимость и синергетические свойства порошка и матричных материалов.

Технологическая модернизация и углубление индустриализации являются основными движущими силами развития промышленности. С научно-техническим прогрессом модификация кварцевого порошка будет двигаться в сторону более высокой эффективности, более низкой стоимости и многофункциональности. Модификаторы будут обладать значительно большей универсальностью и более широкой сферой применения. В то же время технология получения ультратонкого и сферического кварцевого порошка станет более экономически обоснованной, а модернизация производственного оборудования будет способствовать широкомасштабному и промышленному применению передовых технологий модификации. В настоящее время Китай достиг выдающихся результатов в исследованиях модификации кварцевого порошка. В будущем его потенциал применения в более неизвестных высокотехнологичных областях будет постепенно раскрываться, а общая ценность применения и конкурентоспособность отрасли на рынке будут продолжать расти.